另外,傾斜航空攝影技術在近年來的飛迅發展,通過密集匹配方法從多角度航空傾斜影像中獲取具有立面信息的高密度點云,被稱為傾斜攝影測量點云。然而,這些點云數據并不具備語義信息,點云分類成為點云應用的關鍵所在,高精度的點云分類具有極大的研究價值和現實意義。
目前,針對激光點云分類的方法較多,但和傾斜航空攝影技術相比,激光雷達技術掃描事獲取建筑物立面的點較少,所以傾斜攝影測量點云的應用有著廣泛的需求,有學者提出一種面向對象的傾斜攝影測量點云監督分類方法。
由于在監督分類方法中,隨機森林算法和 SVM 分類精度相當,且在計算效率、對異常值和噪聲的魯棒性、內部誤差估計和變量重要性等方面具有優越性,因此本文采用隨機森林分類器進行分類。根據目標對象的顏色和幾何等特征將點云分成屋頂、地面、植被和立面 4 類。
本文分類方法采用的特征如下:
1)法向量nx,ny和nz。每一點的法向量定義為對其k鄰域內的點進行最小二乘以和得到的平面法向量。
2)顏色信息B,G和R。其值分別為影像每個像素藍光、綠光和紅光3通道的DN值,在影像密集匹配時直接獲取。
3)歸一化高程Nz。本文利用文獻(HuH,DingYL,ZhuQ,et...)方法分離地面點并內插得到數字地形模型(digitalterrainmodel,DTM),然后每一點減去DTM的對應高度以獲取歸一化高度。
4)綠信比Gr。由于植被區域綠光波段DN值一般比紅光和藍光波段DN值高,因此本文采用綠信比來區分植被[8],即Gr=G/(R+G+B)。
5)局部擬合平面垂直度fv。假設平面方程為ax+by+cz+d=0,式中:x,y和z為點的坐標;a,b,c和d為平面擬合方程的參數。那么,fv定義為fv(pi)=|c|,式中pi為第i個點。fv的取值范圍為(0,1),當擬合平面接近于鉛垂面時,fv的值趨近于1。
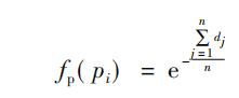
6)局部平面擬合度fp。通常情況下,建筑物屋頂比較規則,多由平面組成,而植被區表面不規則,因此平面擬合度可以作為一個分類特征,即
式中:n為鄰域點數;dj為第j個鄰域點到平面的距離。計算平面擬合度時,利用一定鄰域內的點擬合一個平面,然后計算所有擬合該平面的點到該平面距離的負數指數冪作為fp。fp的取值范圍為(0,1),局部鄰域越接近于平面,fp的值越小。
1.2對象分割與特征計算
采用的點云軟件生成的密集點云,每一張影像對應一個點云文件。并采用間接的方法獲得點云對象,即首先利用簡單線性迭代聚類(SLIC)算法將點云對應的影像分割成超像素,該算法僅需要指定超像素的數量m;然后,利用共線方程將點云投影到影像上;再根據超像素分割的結果將點云聚類成不同的超體素,作為分類的對象。
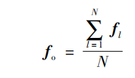
在獲取了點云對象之后,根據對象中所包含的單點的特征向量,采用公式計算對象的特征向量,即
式中:fo表示對象的特征向量;fl表示第l個單點的特征向量;N表示一個對象中包含的單點數量。
1.3隨機森林算法
隨機森林算法由Breiman于2001年提出。該算法的基本思想是用隨機的方式建立一個森林,森林中含有很多決策樹,每一棵樹都是二叉樹的形式。在生成森林之后,當輸入新的樣本時,每棵決策樹便會對其進行判斷,然后根據所有的判斷結果選出票數最多的作為最終的分類結果。
針對待處理的點云數據,首先選取了4個類別(建筑物屋頂、地面、植被和建筑物立面)的少量樣本數據,然后選取20%的樣本作為訓練數據,剩余的樣本作為測試數據。
這里將將點云特征構成的10維特征向量直接輸入到隨機森林分類器中,在訓練分類器之后,利用測試數據評價分類正確率。由于對象的數量對分類結果有較大影響,因此本文測試了不同對象數量的分類效果,然后選擇效果較好的分類器對所有待處理點云(即總體數據)進行分類。
1.4后處理優化
初始分類結果中不可避免地存在錯誤分類,因此進一步利用上下文關系對初始分類結果進行優化。
首先,對分類結果進行聯通分析,將具有鄰接關系的同類點云聚成簇;然后,根據上下文關系對其進行優化處理,具體包括以下3個規則:
①對于屋頂簇,如果屋頂周圍沒有立面,則認為該屋頂是錯分的,根據其鄰域中所占比例最高的類別來修正其類別;
②對于地面簇,如果地面的周圍只有屋頂,則將該地面修正為屋頂;
③對于立面簇,如果立面周圍沒有屋頂,則該立面是錯分的,根據其鄰域中所占比例最高的類別來修正其類別。
版權聲明:文章來源于網絡,登載此文出于傳遞更多信息之目的,版權歸原作者及刊載媒體所有,如本文中圖片或文字侵犯您的權益,請聯系我們。
機載LiDAR可快速獲取高精度、高密度的地表三維坐標信息數據。這些數據是一系列空間分布不均勻的離散點云數據,如何對這些數據進行濾波是當前國內外研究的熱點,現有濾波算法大多都是基于...
公司具備PB級處理能力,通過自主研發了P3C、ImgTools、CloudTools等軟件,將海量多源數...
南京師范大學隨園校區承載著厚重悠遠的百年文脈,浸潤著“東方最美校園”的靈秀之氣。...
飛燕遙感承接了近萬平方公里的點云及影像數據采集的新能源測圖項目并順利驗收。項目通...
近日,湖北省經信廳發布《2022年度湖北省創新產品應用示范推薦目錄》(以下簡稱《目錄...
近日,飛燕遙感喜中2023年安徽省機載激光雷達點云項目,中標金額6,797,300元。 此次...

電話:025-83216189
郵箱:frank.zhao@feiyantech.com HR@feiyantech.com(人力資源)
地址:江蘇省南京市玄武區紅山街道領智路56號星河World產業園3號樓北8樓
微信公眾號
總經理微信
版權所有:飛燕航空遙感技術有限公司 ? 2019-2025 備案號:鄂ICP備19029994號-1 蘇ICP備20022669號-1
鄂公網安備:420106020021194號
簡體中文/English